best counter
Old-School Logo

Matura Czerwiec 2012 Matematyka Odpowiedzi


Matura Czerwiec 2012 Matematyka Odpowiedzi

Matura próbna, matematyka. W czwartek (29 września) odbył się drugi egzamin w ramach matury próbnej 2023. Egzamin z matematyki na poziomie podstawowym rozpoczął się.

Matura do 2022. Informator maturalny do 2022; Matura 2022 - zmiany; Tablice wzorów do 2022; ... 2013 czerwiec LUBLIN - poziom podstawowy - klasa 1 - grupa I - ARKUSZ. Download. 2012.

Re: Matura 2010 - matematyka, odpowiedzi Rysik, tak tam byla wartosc bezwzgledna.. otworzcie sobie arkusz a nie patrzycie tu i wielkie halo robicie ze jest zle, kazdy.

2012 czerwiec Matura jezyk angielski 2012 Matura probna Operon jezyk angielski 2011 Matura ...Arkusz maturalny: polski podstawowy Rok: 2015. ... Matura - Matematyka - Czerwiec 2019 -.

jezyk polski 2012 czerwiec Matura jezyk polski 2012 Matura probna Operon jezyk polski 2011 Matura poprawkowa jezyk ...Arkusz maturalny z geografii na poziomie podstawowym.

Matura matematyka 2012 czerwiec (poziom podstawowy) Rok: 2012; Instytucja: CKE; Temat: Matematyka; ... PDF odpowiedzi Matematyka 2012 czerwiec matura.

Zasady oceniania 1 pkt – odpowiedź poprawna. 0 pkt – odpowiedź niepoprawna albo brak odpowiedzi. Rozwiązanie B 1 Załącznik nr 2 do rozporządzenia Ministra Edukacji Narodowej z.

Rok: 2012. Arkusz PDF i odpowiedzi: Matura matematyka – czerwiec 2012 – poziom podstawowy. Matura matematyka – czerwiec 2012 – poziom podstawowy – odpowiedzi. Arkusz maturalny w.

Pobierz arkusze CKE Matura poziom rozszerzony z przedmiotu matematyka. Rok 2019. Pobierz arkusze z lat 2022, 2021, 2020, 2019, 2018... Arkusze24.pl

Matura 2022: matematyka odpowiedzi, zadania, arkusze CKE, pytania. W czwartek, 5.05.2021, rozpoczęła się matura 2022 z matematyki na poziomie podstawowym..

Klucze odpowiedzi; Archiwum; Egzamin potwierdzający kwalifikacje w zawodzie ... Strona startowa > Egzamin maturalny > Egzamin maturalny w Formule 2014 > Arkusze > 2012 >.

Matura – Matematyka – Czerwiec 2022 – Odpowiedzi. Poniżej znajdują się zadania i odpowiedzi z matury na poziomie podstawowym – czerwiec 2022. Wszystkie zadania posiadają pełne.

Matura matematyka 5.05.2022 - odpowiedzi, arkusze CKE, zadania, rozwiązania podrzucamy w tym miejscu! Matematyka 5 maja 2022 wywołała duże emocje zarówno wśród.

Próbna matura z matematyki dobiegła końca. Jakie zadania pojawiły się na próbnej maturze 14.12.2022? Zobacz arkusz i sprawdź odpowiedzi! Matura próbna z CKE w.

Matematyka. poziom podstawowy – arkusz + kryteria oceniania. Język łaciński i kultura antyczna. poziom podstawowy – arkusz + kryteria oceniania poziom rozszerzony – arkusz + kryteria.

Egzamin maturalny z matematyki Kryteria oceniania odpowiedzi – poziom rozszerzony 5 Rysujemy wykres funkcji f i prostą o równaniu yx 33 : Odczytujemy odciętą punktu przecięcia.

#matura2022 #arkuszmaturalny #matematyka W filmie rozwiązuję cały arkusz maturalny, jaki pojawił się w terminie dodatkowym 2 czerwca 2022 roku. 👉Arkusz może...

Matura fizyka 2017 czerwiec Matura fizyka 2017 Matura stara fizyka 2017 Matura probna Nowa Era fizyka 2017Matura: CKE Przedmiot: chemia Poziom: rozszerzony Rok: 2011 Arkusz PDF i.

Matura Czerwiec 2012 Matematyka Odpowiedzi. Resepi udang masak lemak nenas nyonya. Sprawdź, jakie zadania pojawiły się w poprzednich latach maturzyści w.

Uwaga: Akceptowane są wszystkie odpowiedzi merytorycznie poprawne i spełniające warunki zadania. Zadanie 26. (0–2) Rozwiąż nierówność ()111()() 223 xx x x−> − +3. II. Wykorzystanie.

Kck 2022 ... Comments on: Matura Czerwiec 2012 Matematyka Odpowiedzi

Rok: 2012. Arkusz PDF i odpowiedzi: Matura matematyka – czerwiec 2012 – poziom rozszerzony. Matura matematyka – czerwiec 2012 – poziom rozszerzony – odpowiedzi. Podziel się tym.

Matura 2022, matematyka poziom podstawowy. Arkusze CKE i odpowiedzi. Matura 2022. Rozwiązujemy zadania z matematyki. Tuż po godzinie 14:00 CKE opublikowała arkusz.

Arkusz matura CKE czerwiec 2022 matematyka poziom podstawowy. Kliknij DOWNLOAD aby pobrać arkusz. Dodaj komentarz Anuluj pisanie odpowiedzi. Twój adres e.

Open navigation menu. Close suggestions Search Search. en Change Language

Matura z matematyki, CKE czerwiec 2012. Poziom rozszerz... W ciągu arytmetycznym dane są wyraz i różnica, oblicz największe n takie że ...Rozwiązanie zadania 5. Matura z matematyki,.

Pobierz arkusze CKE Matura poziom rozszerzony z przedmiotu matematyka. Rok 2012. Arkusze CKE, Operon - matura 2012, egzaminy zawodowe 2012, egzaminy ósmoklasisty 2012

Matura 2020 - MATEMATYKA rozszerzona: ODPOWIEDZI i ZADANIA z arkusza

Matura Czerwiec 2012 Matematyka Odpowiedzi Matura 05.05.2016 Matematyka Rozwiązany arkusz CKE. Klucz odpowiedzi
Matura Czerwiec 2012 Matematyka Odpowiedzi Galeria - Odpowiedzi - matematyka, p. podstawowy, matura 2012-strona-13
Matura Czerwiec 2012 Matematyka Odpowiedzi Galeria - Odpowiedzi - matematyka, p. rozszerzony, matura 2012-strona
Matura Czerwiec 2012 Matematyka Odpowiedzi P zadanie 15/2017 matura czerwiec matematyka podstawa - YouTube
Matura Czerwiec 2012 Matematyka Odpowiedzi Matura 2016 [MATEMATYKA - ROZSZERZENIE] Odpowiedzi i arkusze CKE w
Matura Czerwiec 2012 Matematyka Odpowiedzi MATEMATYKA MATURA POZIOM PODSTAWOWY 2015 POBIERZ CKE - Iltineali
Matura Czerwiec 2012 Matematyka Odpowiedzi P zadanie 8/2017 matura czerwiec matematyka podstawa - YouTube
Matura Czerwiec 2012 Matematyka Odpowiedzi Matura 2017. MATEMATYKA rozszerzona ODPOWIEDZI, ARKUSZ CKE | Dziennik
Matura Czerwiec 2012 Matematyka Odpowiedzi Matura poprawkowa MATEMATYKA 2018: Odpowiedzi, Arkusz CKE | Dziennik Polski
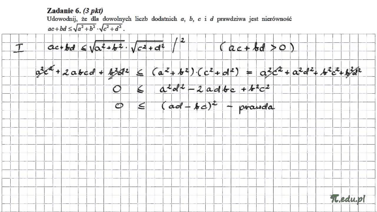
Matura Czerwiec 2012 Matematyka Odpowiedzi Zadanie 6. Matura, czerwiec 2012. PR [Wyrażenia algebraiczne
Matura Czerwiec 2012 Matematyka Odpowiedzi MATURA POPRAWKOWA 2016: Wyniki, odpowiedzi, arkusze. Matematyka, Polski
Matura Czerwiec 2012 Matematyka Odpowiedzi Zadanie 14 Matura czerwiec 2012 - YouTube
Matura Czerwiec 2012 Matematyka Odpowiedzi Matura matematyka odpowiedzi 7.05.2018: Arkusze CKE i rozwiązania zadań
Matura Czerwiec 2012 Matematyka Odpowiedzi Matura z matematyki rozszerzona 2019: Odpowiedzi, Zadania, Rozwiązania
Matura Czerwiec 2012 Matematyka Odpowiedzi Galeria - odpowiedzi-matematyka-poziom-rozszerzony-matura-2014-26
Matura Czerwiec 2012 Matematyka Odpowiedzi P zadanie 16/2016 matura czerwiec matematyka podstawa - YouTube
Matura Czerwiec 2012 Matematyka Odpowiedzi Matura 2016: Matematyka. Mamy arkusze i odpowiedzi - poziom podstawowy
Matura Czerwiec 2012 Matematyka Odpowiedzi MATURA PRÓBNA 2020: Matematyka - poziom rozszerzony. Zobacz arkusz
Matura Czerwiec 2012 Matematyka Odpowiedzi P zadanie 21/2019 CKE matura czerwiec matematyka podstawa - YouTube