best counter
Old-School Logo

W Każdym Rombie Przekątne Są Prostopadłe


W Każdym Rombie Przekątne Są Prostopadłe

Dowód: Przekątne deltoidu są do siebie prostopadłe. Dowód: Przekątne rombu są prostopadłe i dzielą się na połowy. Dowód: pole rombu. ... Krzysztof udowadnia, że przekątne rombu są prostopadłe, a miejsce ich przecięcia stanowi punkt środkowy obydwu odcinków. Stworzone.

W każdym rombie przekątne są prostopadłe. W każdym trapezie przekątne dzielą się na. połowy. W każdym prostokącie przekątne są równej. długości. Tags: Question 14 . SURVEY . 60.

Skoro przekątne w rombie są prostopadłe, to \(\displaystyle{ BD}\) jest wysokością \(\displaystyle{ \triangle ABC}\), a w połączeniu z poprzednim spostrzeżeniem, implikuje to to,.

Zaznacz zdania FAŁSZYWE : A Każdy kwadrat jest rombem B W każdym rombie przekątne są prostopadłe C W każdym trapezie przekątne dzielą się na połowy D W każdym prostokącie.

A. W każdym rombie przekątne są prostopadłe. B. Każdy kwadrat jest rombem. C. W każdym prostokącie przekątne są równej długości. D. W każdym trapezie przekątne dzielą się na.

1. Zaznacz zdanie fałszywe: A. W każdym rombie przekątne są prostopadłe. B. Każdy kwadrat jest rombem. C. W każdym prostokącie przekątne są równej długości. D. W każdym trapezie.

W Każdym Rombie Przekątne Są Prostopadłe. A.w każdym prostokącie przekątne są tej równej długości. W każdym trapezie przekątne dzielą się na połowy. Uzupełnij.

Co ma prostopadłe przekątne..?.? 2010-09-15 18:58:16; Czy w każdym czworokącie przekątne są prostopadłe? 2012-02-07 23:11:47; Umiesz ? Wysokość trapezu jest równa 4 cm , a jego.

B. W każdym rombie przekątne są prostopadłe. C. W każdym trapezie przekątne dzielą się na połowy. D. W każdym prostokącie przekątne są równej długości 2 Zobacz odpowiedzi.

W dwóch jednakowych sakiewkach jest po 20 monet, przy czym w pierwszej są same monety dwuzłotowe, a w drugiej tylko jednozłotowe i pięciozłotowe. W każdej sakiewce jest taka sama.

<p>W każdym rombie przekątne są prostopadłe.</p> <p>W każdym prostokącie przekątne są równej długości.</p> <p>W każdym kwadracie przekątne są równej długości.</p> answer.

W każdym prostokącie przekątne są prostopadłe. W każdym prostokącie przeciwległe boki są równe. 3. W każdym rombie wszystkie boki są równe. W każdym rombie przekątne są.

B.w Każdym Rombie Przekątne Są Prostopadłe. Krzysztof Udowadnia, Że Przekątne Rombu Są Prostopadłe, A Miejsce Ich Przecięcia Stanowi Punkt Środkowy.

B. W każdym rombie przekątne są prostopadłe. C. W każdym trapezie przekątne dzielą się na α =..... połowy. β =..... D. W każdym prostokącie przekątne są równej γ =..... długości. 8. Narysuj.

Zaznacz zdanie fałszywe: A. W każdym rombie przekątne są prostopadłe. B. Każdy kwadrat jest rombem. C. W każdym prostokącie przekątne są równej długości. D. W każdym.

Są dwie przekątne. Jest prostokątem. Ma tylko jeden kąt prosty. Ma przynajmniej dwa kąty proste. Ma przynajmniej jedno ramię prostopadłe do podstaw. Średnica to najdłuższa z cięciw..

Klasa 6. Figury na płaszczyźnie

Figury na płaszczyźnie - Pobierz pdf z Docer.pl. Klasa 6. Figury na płaszczyźnie. Dokument: pdf (192.6 KB) 5 stron. Pobierz plik *.pdf.

B. W każdym rombie przekątne są prostopadłe. C. W każdym trapezie przekątne dzielą się na połowy. D. W każdym prostokącie przekątne są równej długości. Odpowiedź.

B. W każdym rombie przekątne są prostopadłe. C. W każdym trapezie przekątne dzielą się na połowy. α =..... D. W każdym prostokącie przekątne są równej długości. γ =..... 8. Narysuj.

c) Promień jest dwa razy krótszy od średnicy. d) Cięciwa jest zawsze dłuższa od promienia 2) W każdym rombie: a) Są dwie przekątne. b) Przekątne są równej długości. c) Przekątne są.

W każdym czworokącie można poprowadzić dwie przekątne. Przekątne oznaczamy zazwyczaj literą d. Czworokąty i ich własności. ... przekątne d1, d2 są: prostopadłe, dwusiecznymi kątów.

332 (gianni rodari, proces przeciwko pociotkowi) klasa 6. W każdym rombie przekątne są prostopadłe. Source: rysunkihd.blogspot.com. 332 (gianni rodari, proces.

KL.6 sPRAWDZIAN fIGURY NA PŁASZCZYŹNIE-questions - dokument [*.pdf] Klasa 6. Figury na płaszczyźnie .....

W każdym rombie przekątne są prostopadłe. Na Podstawie Twojego Wyszukiwania Sprawdzian Figury Na Płaszczyźnie Klasa 8, Te Kroki Mogą Pomóc W.

B.w Każdym Rombie Przekątne Są Prostopadłe. A)każdy romb jest kwadratem b)w każdym rombie przekątne są prostopadłe c) w każdym równoległoboku przekątne dzielą.

narysuj prostokąt którego przekątne są prostopadłe - Brainly.pl

W Każdym Rombie Przekątne Są Prostopadłe 6. a) Narysuj i zmierz przekątne w rombach. Co zauważasz? Dam tego
W Każdym Rombie Przekątne Są Prostopadłe a) narysuj przekątne w prostokącie POLA. Oznacz literą K punkt
W Każdym Rombie Przekątne Są Prostopadłe narysuj przekątne w prosto kącie KLON oznacz literą s punkt przecięcia
W Każdym Rombie Przekątne Są Prostopadłe Przekątne rombu mają długość 10 i 24 cm, oblicz sinus kąta ostrego tego
W Każdym Rombie Przekątne Są Prostopadłe a) narysuj i zmierz przekątne w rombach. Co uważasz ? b) podkreśl
W Każdym Rombie Przekątne Są Prostopadłe Askly | Podobieństwa Figur Zad.1 Jedna przekątna rombu
W Każdym Rombie Przekątne Są Prostopadłe CZWOROKĄTY | AleKlasa
W Każdym Rombie Przekątne Są Prostopadłe 6. a) Narysuj i zmierz przekątne w rombach. Co zauważasz? Dam tego
W Każdym Rombie Przekątne Są Prostopadłe 6. a) Narysuj i zmierz przekątne w rombach. Co zauważasz? Dam tego
W Każdym Rombie Przekątne Są Prostopadłe Narysuj i zmierz przekątne w rombach co zauważasz ? - Brainly.pl
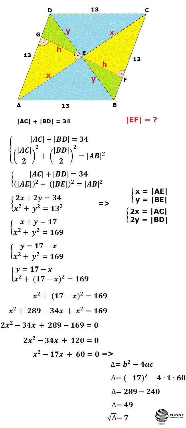
W Każdym Rombie Przekątne Są Prostopadłe Blog matematyczny Minor | Matematyka: Wysokość trójkąta prostokątnego w
W Każdym Rombie Przekątne Są Prostopadłe Przekątne rombu mają długość 12 cm i 5 cm. Oblicz wysokość tego rombu
W Każdym Rombie Przekątne Są Prostopadłe Dany jest romb o przekątnych długości 12 i 16. Oceń prawdziwość każdego
W Każdym Rombie Przekątne Są Prostopadłe narysuj romb i trapez prostokątny . w każdym tych czworokątów narysuj
W Każdym Rombie Przekątne Są Prostopadłe W trapezie równoramiennym przekątne są prostopadłe. Punkt przecięcia
W Każdym Rombie Przekątne Są Prostopadłe PPT - Figury płaskie I PRZESTRZENNE PowerPoint Presentation, free
W Każdym Rombie Przekątne Są Prostopadłe a) w pewnym czworokątcie przekątne mają równe długości. Czy z tego
W Każdym Rombie Przekątne Są Prostopadłe Sprawdź za pomocą ekierki, czy proste są prostopadłe.Wpisz TAK lub NIE
W Każdym Rombie Przekątne Są Prostopadłe Na czym polegają linie równoległe i prostopadłe? - Brainly.pl