best counter
Old-School Logo

Wartość Wyrażenia Log50 04−12log251 Jest Równa


Wartość Wyrażenia Log50 04−12log251 Jest Równa

WYRAŻENIA ALGEBRAICZNE - Oblicz wartość wyrażenia (x+y)/x - YouTube

Wartość Wyrażenia Log50 04−12log251 Jest Równa Jeżeli α jest kątem ostrym oraz tgα=2/3 , to wartość wyrażenia 2cosα−
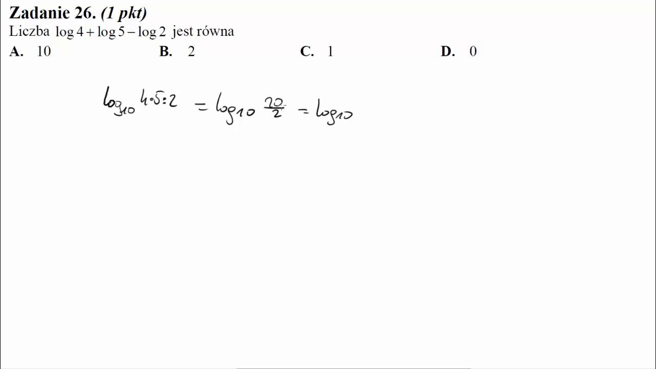
Wartość Wyrażenia Log50 04−12log251 Jest Równa Matura czerwiec 2013 zadanie 26 Liczba log4+log5−log2 jest równa: - YouTube
Wartość Wyrażenia Log50 04−12log251 Jest Równa 3. Oblicz :log5 125-1/2log4 16xlog4 1 . 4.korzystając z własności potęg
Wartość Wyrażenia Log50 04−12log251 Jest Równa Kąt α jest ostry i sinα=34 Wartość wyrażenia 2−cos2α jest równa - YouTube
Wartość Wyrażenia Log50 04−12log251 Jest Równa Oblicz wartość wyrażenia dla podanej wartości zmiennej - Brainly.pl
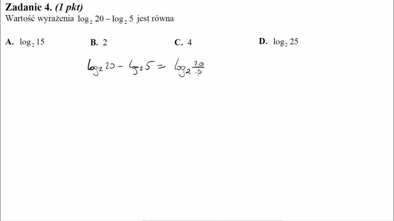
Wartość Wyrażenia Log50 04−12log251 Jest Równa 4 Wartość wyrażenia log220−log25 jest równa - YouTube
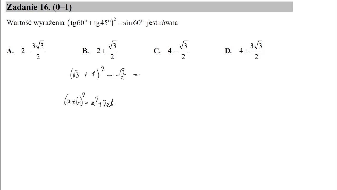
Wartość Wyrażenia Log50 04−12log251 Jest Równa 16 Wartość wyrażenia tg60∘+tg45∘2−sin60∘ jest równa - YouTube
Wartość Wyrażenia Log50 04−12log251 Jest Równa Matura sierpień 2010 zadanie 3 Różnica log(3)9−log(3)1 jest równa
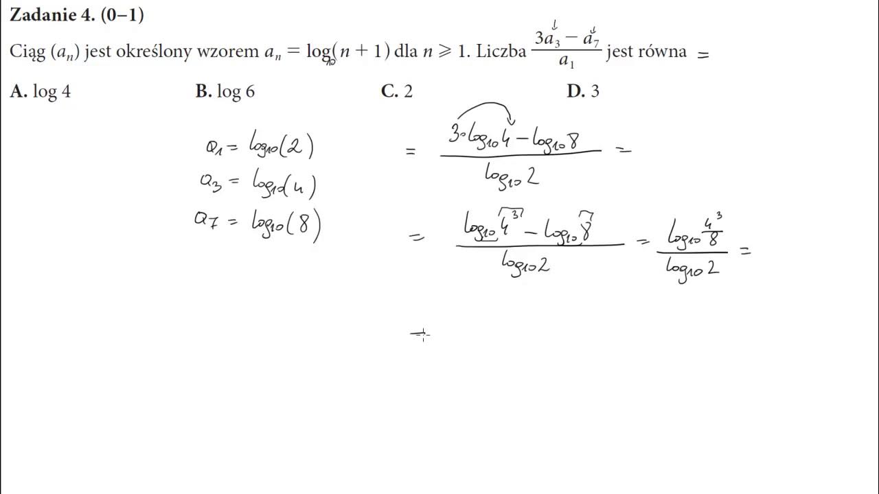
Wartość Wyrażenia Log50 04−12log251 Jest Równa 4 Ciąg an jest określony wzorem an=logn+1 dla n≥1 Liczba 3a3−a7a1 jest
Wartość Wyrażenia Log50 04−12log251 Jest Równa Kąt α jest ostry i sinα=45 Wtedy wartość wyrażenia sinα−cosα jest równa
Wartość Wyrażenia Log50 04−12log251 Jest Równa 1 Dla x=22–√+1 oraz y=2–√−1 wartość wyrażenia x2−2xy+y2 jest równa
Wartość Wyrażenia Log50 04−12log251 Jest Równa Matura czerwiec 2013 zadanie 4 Wartość wyrażenia log(2)20−log(2)5 jest
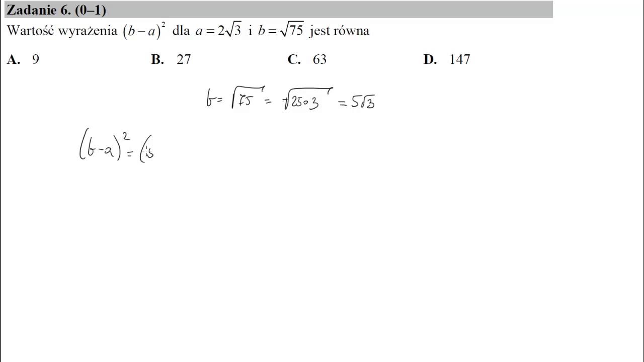
Wartość Wyrażenia Log50 04−12log251 Jest Równa 6 Wartość wyrażenia b−a2 dla a=23–√ i b=75−−√ jest równa - YouTube
Wartość Wyrażenia Log50 04−12log251 Jest Równa 1 Liczba 2log36−log34 jest równa - YouTube
Wartość Wyrażenia Log50 04−12log251 Jest Równa Oblicz przybliżoną wartość logarytmu, jeśli log4≈ 0,6 oraz log5≈ 0,7 a
Wartość Wyrażenia Log50 04−12log251 Jest Równa Największa wartość funkcji kwadratowej f(x)=a(x−2)2−4, gdzie a≠0, w
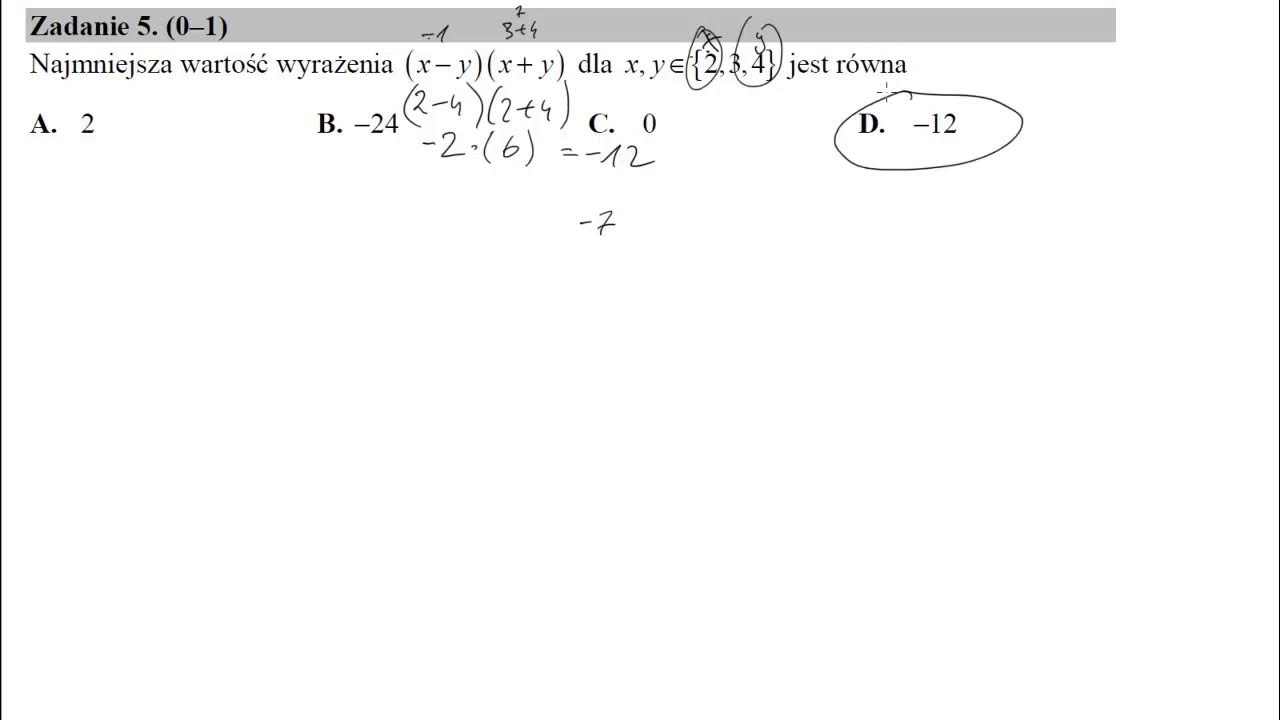
Wartość Wyrażenia Log50 04−12log251 Jest Równa 5 Najmniejsza wartość wyrażenia x−yx+y dla x,y∈{2,3,4} jest równa - YouTube
Wartość Wyrażenia Log50 04−12log251 Jest Równa Logarytmy 1.68 oblicz wartość wyrażenia - Brainly.pl
Wartość Wyrażenia Log50 04−12log251 Jest Równa 10 Liczba log2100−log250 jest równa - YouTube
Wartość Wyrażenia Log50 04−12log251 Jest Równa Wiadomo , że log 5 z 2 =a i log 5 z3=b .Wtedy liczba log 18 z 40 jest